
State - NCT OF Delhi |
General Election 2013 - Candidate's Affidavit |
AC No. & Name:3 - TIMARPUR | ||
|---|---|---|
| Sl. No. | Candidate Name | Party |
|---|---|---|
5 | JASBIR KAUR | Indian National Congress |
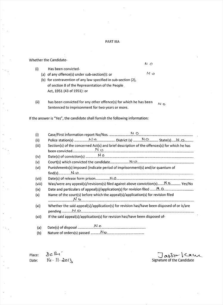
CANDIDATE AFFIDAVIT | |||||||
| |||||||
![]() | ![]() | ![]() | ![]() | ![]() | ![]() | ![]() | ![]() |
| Page 1 | Page 2 | Page 3 | Page 4 | Page 5 | Page 6 | Page 7 | Page 8 |
| |||||||
Please Click here to download Candidate Affidavit
Please Click here for slide show (For Image Only)
Note: Please Click on thumbnails to view the full page.